ТЭНовый элемент воздушного нагревателя
Рис. 1. Графики зависимости
Рис. 2. Сложные схемы обвязки и управления несколькими последовательно установленными по воздуху аппаратами
Рис. 3. График для определения относительного расхода воды через второй нагреватель при известном относительном расходе воды через основной клапан КЛ-1 и оппозитно-управляемых водяных регулирующих клапанах
7. Хотел бы с Вашей помощью разобраться с характеристиками воздухонагревателей и воздухоохладителей. Каждая фирма-производитель этих теплообменников для «своего» оборудования приводит тепло, гидро и аэродинамические характеристики без указания поверхности аппарата и его коэффициента теплопередачи. Все они по-разному представлены, что крайне затрудняет понимание, сравнение и обобщение. На практике я испытывал теплообменники неизвестного производителя без каких-либо характеристик, как бы «инкогнито». В связи с этим у меня возникает вопрос — поддается ли это многообразие какому-либо обобщению, и если да, то как это делается?
Это очень интересный для понимания, я бы сказал, даже философский вопрос. Разобраться вам будет, может быть, не очень просто, т.к. потребуется ознакомиться с новыми, часто неизвестными понятиями и терминами. Конечно, обобщение, о котором вы спрашиваете, возможно и давно известно в теории. Для этого достаточно открыть серьезную книгу по теплопередаче в аппаратах, например, водовоздушных, и тогда вы увидите соответствующие формулы (к сожалению, они достаточно сложны и здесь не приводятся) и графики. Общий вид формул для любого теплообменника не зависит от его конструкции, типа оребрения, поверхности контакта и др. факторов и сводится к зависимости типа:

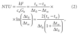
где все вышеназванные величины (θв, NTU) или отношение (Wmin/Wmax) могут быть определены через четыре заданные в проекте или замеренные на объекте температуры: tw.см, tw.к, tн и tк. Величину W = c G называют водяным эквивалентом, относят ее к воздуху и воде и характеризуют ей общую теплоемкость среды, кВт/°C. Величину NTU называют числом единиц переноса и определяют комплексом:

где kF — обычно неизвестное произведение коэффициента теплопередачи аппарата на его поверхность, кВт/°C, этот комплекс характеризует передачу теплоты, отнесенную к 1 °C среднелогарифмической разности температур; Δtб, Δtм — соответственно, большая и меньшая разность температур воды и воздуха на входе и выходе аппарата. Например, при подаче горячей воды со стороны входящего наружного воздуха Δtб = tw.см – tн, а Δtм = tw.к – tк. При условии:

справедливо последнее равенство (2).Графики (их всего четыре) отличаются условиями, для которых они построены, а именно, взаимным направлением движения воздуха в аппарате и воды в трубке: однонаправленным, встречным (противоточным) или перекрестным. Для теплообменников СКВ и СВ характерно перекрестное движение с поправкой на противоток или параллельный ток, которой в практической работе можно пренебречь.
Для этого случая графики зависимостей приведены на рис. 1, а более подробно в книге [1] или другой фундаментальной книге по теплопередаче в аппаратах. Главное, чтобы вы точно представляли, что Вам известно, и что вы хотите по этим графикам определить, особенно для незнакомого аппарата (без «шильдика»). Например, по замеренным четырем температурам воздуха и воды и одному из расходов (воздуха или воды) можно найти другой неизвестный расход и комплекс kF.
Возможен пересчет характеристик аппарата на другой, увеличенный или уменьшенный расход воздуха, но в предположении, что коэффициент теплопередачи аппарата при этом изменится незначительно.
8. Как правильно проводить испытание аппарата в любых промежуточных условиях, и как определить его характеристики и фактическую эффективность, не дожидаясь (или не дождавшись) расчетной зимней температуры или расчетной летней энтальпии наружного воздуха?
Ваш вопрос весьма актуален для наладчиков, особенно для получения объективной теплотехнической характеристики аппарата. Раньше такой характеристикой был коэффициент теплопередачи, но более правильным является коэффициент эффективности θв. Его можно определить в произвольных условиях испытаний, когда наружная температура, температура теплоносителя перед аппаратом и конечная температура воздуха далеки от расчетных и образуют произвольную комбинацию.
В своем сочетании они определяют эффективность процесса нагревания или охлаждения. При испытаниях нужно фиксировать положение плунжера водяного регулирующего клапана — полностью открыт или в промежуточном положении. Расходы воздуха и воды должны соответствовать расчетным или быть близким к ним. Положительным нужно считать результат испытания, когда эффективность аппарата, определенная по фактическим замерам температур, больше или равна проектной.
Поясним эту методику примером. Пусть по проекту воздухонагреватель в режиме на Севере должен обеспечить при tн.расч = –40 °C и tw.см == tw.н = 90 °C (клапан полностью открыт) конечную температуру tк = 20 °C. Как известно, этому сочетанию температур соответствует следующая расчетная эффективность процесса нагревания:

Испытания проводили при расходах воздуха и воды, близких к проектным, при температуре tн = 2 °C и полностью открытом клапане, и получили tw.см = tw.н = 73 °C и tк = 20 °C, чему соответствует фактическая эффективность:

что близко к расчетной эффективности с учетом погрешности замеров. В этом случае работу аппарата можно считать соответствующей проекту. В других случаях, когда фактическая эффективность оказывается ниже проектной, нужно искать причину такого несоответствия, например, загрязнение аппарата, завышенный расход воздуха, устранить ее, а если потребуется — увеличить расход циркулирующей воды, в крайнем случае, поставить дополнительный теплообменник.
9. Все схемы управления нагревателями очень похожи, включают одни и те же элементы и кажется, что этому нет никакой альтернативы. Неужели неизвестны какие-то другие, более оригинальные и надежные схемы обвязки и управления, и если такие есть, то как они устроены и как работают?
Конечно есть. Одну из таких схем мы опишем ниже. Необходимость ее разработки, по мнению авторов [2], была вызвана комплексом причин:
- несоблюдением графика теплоносителя и заниженной теплоотдачей установленных аппаратов;
- необходимостью большого и переменного нагрева приточного воздуха в системах воздушного отопления, зависящего от солнечной радиации и температуры tн, режима работы объекта, сменяющегося малым нагревом;
- снижением в процессе нетрадиционного управления температуры обратной воды ниже 20–30 °C, приводящей к срабатыванию автоматической защиты от замерзания и другими причинами.
В связи с этими обстоятельствами МНИИТЭП предложены схемы (рис. 2), обеспечивающие необходимые пределы эффективного управления, хотя указаний об опытной проверке таких схем не обнаружено. В схеме на рис. 2а, например, максимальная теплопроизводительность достигается при последовательно-противоточной схеме, когда клапан КЛ1 полностью открыт, а клапан КЛ2 закрыт. В промежуточных положениях оппозитноуправляемых клапанов КЛ1 и КЛ2 в первый аппарат поступает переменная пропорция смеси воды после второго аппарата и байпасируемой воды.
Минимальная теплопроизводительность достигается при полном открытии КЛ2 и сильном прикрытии КЛ1 (последний имеет логарифмический плунжер, поэтому вблизи закрытия относительный расход воды значительный, рис. 3). Выбирая сечение клапана с данным соотношением S, можно добиться зависимости θв(h), близкой к линейной, несмотря на нелинейность графика θв(GW). Клапан КЛ2 подбирают с линейной характеристикой плунжера и малым S.
Усилить эффект отключения обводимых секций можно уменьшением перемещения плунжера КЛ2 по сравнению с КЛ1, при этом клапан КЛ2 будет полностью открываться, тогда как плунжер основного клапана КЛ1 пройдет лишь 20–30 %от всего перемещения. Поверхность нагрева первого аппарата рассчитывают на теплоотдачу при сокращении относительной нагрузки, а последующих — из расчета обеспечения натопа при расчетных теплопотерях.
Представление о режимах работы воздухонагревателя, управляемого по схеме на рис. 2, при байпасировании воды и двух оппозитноработающих водяных регулирующих клапанах можно получить из графика (рис. 3). На левой части горизонтальной оси отложен относительный расход воды G_Wкл1 через основной клапан КЛ1 (при Sкл1 = 0,70), а в правой части — отношение расхода воды через клапан КЛ2 к расходу через КЛ1 (при Sкл2 = 0,1).
Относительный расход воды при полностью открытом клапане КЛ2 принят 0,2. На вертикальной оси определяют положение плунжеров клапанов при их противоположном (оппозитном) перемещении. Обеспечение необходимого отношения расходов через клапаны достигается следующим способом — установкой диафрагмы на трубопроводе к байпасируемому аппарату.