Рис. 1. Схема расчетной модели струи
Рис. 2. Схема расположения точек измерения
Проблема влажности
Основной проблемой для крытых бассейнов и аквапарков является повышенная влажность внутреннего воздуха, т.к. с водной поверхности бассейна, а также из сырых и мокрых материалов, дорожек и предметов, находящихся в помещении, происходит испарение влаги. При нормальной температуре воды 26 °С, температуре воздуха 27 °С и относительной влажности 60 % с каждого квадратного метра зеркала водной поверхности выделяется 230 г водяных паров в час.
Отсутствие должного регулирования влажности приводит при охлаждении воздуха ниже точки росы к конденсации паров влаги на холодных поверхностях, что является одной из главных причин повреждения и разрушения зданий. В закрытых бассейнах хлорамины (вторичные продукты, образуемые химикатами, которые применяются для санитарной обработки воды) вместе с влагой воздуха, конденсирующейся на холодных поверхностях, образуют хлоридные растворы, вызывающие коррозию большинства металлов, в т.ч. некоторых сортов нержавеющей стали [1].
Кроме того, происходит запотевание окон помещения бассейна, что создает дискомфортные условия для присутствующих людей. Избыточная влага неизбежно вызывает или ускоряет следующие процессы:
- разрушение наружных ограждающих конструкций при периодических промерзаниях и оттаиваниях влаги в порах и микротрещинах;
- электрохимическую коррозию металлических изделий, например арматуры в железобетонных конструкциях, оборудования и воздуховодов систем вентиляции и кондиционирования и т.д.;
- биологические повреждения в результате образования плесени, появления грибков и т.д.
Особенно опасной является коррозия арматуры железобетонных конструкций, а также образование трещин в кирпичной и/или шлакобетонной кладке при замерзании влаги, проникающей под действием конденсации в толщу наружных ограждений. Печальным итогом в ряде случаев является то, что здание полностью разрушается либо приходит в состояние, не пригодное для дальнейшей эксплуатации.
Во избежание негативного влияния влажного воздуха на ограждающие конструкции необходимо применять современные методы микроклиматической поддержки в крытых бассейнах и аквапарках. Правильно спроектированная система вентиляции и осушения, а также надлежащая теплоизоляция здания позволяют снизить содержание влаги в воздухе до допустимых пределов. Благодаря этому можно предотвратить разрушение конструктивных элементов здания и создать комфортные условия для людей.
В помещении бассейна необходимо поддерживать небольшое разрежение, чтобы снизить абсорбцию водяных паров наружными строительными конструкциями здания и предотвратить распространение запаха хлораминов из бассейна в другие помещения. При проектировании системы вентиляции очень важно учесть такие факторы, как подвижность воздуха и, особенно, воздухораспределение в помещении плавательного бассейна.
Желательно, чтобы непосредственно над водной поверхностью воздух был более или менее статичным, т.к. высокая подвижность интенсифицирует испарение влаги. Отечественные стандарты определяют, что в зонах нахождения занимающихся (в залах ванн бассейнов) подвижность воздуха не должна превышать 0,2 м/с [2]. Однако нужно учитывать повышенную чувствительность влажного тела к сквознякам. Например, китайские стандарты ограничивают скорость воздуха в зоне обходных дорожек значением 0,13 м/с.
Перед Пекинской олимпиадой нормы были пересмотрены и приведены в соответствие с требованиями международных спортивных федераций [3].Даже грамотно спроектированная система микроклиматической поддержки может не обеспечивать желаемого результата, если она неквалифицированно эксплуатируется. Поскольку климатическое оборудование бассейнов работает в тяжелых атмосферных условиях по 24 ч в сутки семь дней в неделю, оно нуждается в регулярном и профессиональном техническом обслуживании.
Со своей стороны проектировщик должен обеспечить легкий доступ специалистов к климатическому оборудованию.
Расчет интенсивности испарения
Предотвращение избыточной влажности воздуха внутри влажной зоны аквапарка — особенно важная задача, и наиболее экономичным и эффективным способом ее решения является конденсационное осушение. Существует несколько методик расчета количества испаряющейся влаги с поверхности бассейна. Для бассейнов большой площади чаще всего применяют методику Бязина-Крумме. На величину интенсивности испарения влияют следующие параметры:
- площадь водной поверхности бассейна;
- температура воды;
- температура воздуха в помещении;
- влажность воздуха в помещении;
- скорость воздушного потока;
- активность купающихся в бассейне.
Кроме величины парциального давления водяных паров, в формуле учитывается коэффициент занятости бассейна людьми, который отражает соотношение между действительным и максимально допустимым количеством купающихся.Существует два выражения для количества влаги:
- для периода, когда в бассейне находятся купающиеся (период использования):

- для периода, когда в бассейне нет купающихся (период бездействия):

где Wпов — количество влаги, поступившей в помещение с водной поверхности бассейна, кг/ч; а — коэффициент занятости бассейна людьми; А — площадь бассейна, м2; Δp — разность между давлением водяных паров pв насыщенного воздуха при температуре воды в бассейне и парциальным давлением водяных паров pб в условиях воздушной среды бассейна, мбар. Значение Δp рассчитывается по формуле:
Δp = pв – pб,
где tвд, tвз — температура воды в бассейне и воздушной среды соответственно. Расчет количества избыточной влаги, ассимилируемой приточным наружным воздухом:
Wасс = Lρ(dп – dн), г/ч,
где L — количество наружного приточного воздуха из расчета 80 м3/ч на одного купающегося и 20 м3/ч на одного зрителя [2];
ρ — плотность воздуха, кг/м3:
ρ = 353/(273 + tв);
dп, dн — расчетное влагосодержание воздуха в помещении и наружного соответственно, г/кг; dп определяется поi–dдиаграмме (f = (t, °С; ϕ, %)).Так как температура наружного воздуха меняется в широком диапазоне, необходимо определить расчетную температуру наружного воздуха, при которой температура внутренних поверхностей зала бассейна была бы равна температуре точки росы +2 °С (наихудшая ситуация, при которой возможно выпадение конденсата на внутренние поверхности ограждения). Предлагается следующая методика определения расчетной наружной температуры воздуха для вычисления Wасс. Температуру наружного воздуха можно найти из следующих зависимостей:
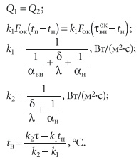
- Тепловой поток от внутреннего воздуха зала бассейна через ограждение (заполнение оконного проема) к наружному воздуху: Q1 = k1Fок(tп – tн), Вт.
- Теплота, переданная наружному воздуху от внутренней поверхности витражных блоков:Q2 = k2Fок(tвнок – tн), Вт,где k — коэффициент теплопередачи ограждающей конструкции, Вт(м2⋅°С); Fок — площадь ограждающей конструкции, м2; tп — температура внутреннего воздуха помещения зала бассейна, °С; tн — температура наружного воздуха, °С; tвнок — температура поверхности витражных блоков, °С.
- Очевидно, что:

По значениям tн и ϕ = 100 % определяется значение dн. Общее количество влаги, которое учитывается при расчете необходимой нагрузки осушения, складывается из количества влаги, испаряющейся с водной поверхности бассейна, и влаги, выделившейся от людей. Необходимая производительность осушителя: Wосуш = Wпов – Wасс, г/ч.
Выбор оборудования осушения и распределения воздуха
Осушители подбираются исходя из интенсивности испарения влаги с зеркала водной поверхности чаши бассейна. С учетом количества влаги, ассимилируемой свежим воздухом, который подается в соответствии с санитарной нормой, принимается решение о типе и требуемой производительности осушительного агрегата. На больших спортивных и развлекательных объектах, включая аквапарки, экономически оправданным является применение вентиляционных агрегатов, которые в своем составе имеют пластинчатый рекуператор диагонального типа и работающий в реверсивном режиме тепловой насос.
Помимо ассимиляции, такой осушитель способен обеспечить дополнительный влагосъем путем конденсации из воздуха до 100 кг влаги в час. Благодаря высокому коэффициенту энергетической эффективности, такие установки дают многократное снижение соответствующих эксплутационных затрат. Для небольших чаш, зеркало воды которых менее 40 м2, оптимальным вариантом являются моноблоки со 100 % рециркуляцией воздуха.
В этом случае многократное использование воздуха внутри помещения способствует максимальному энергосбережению. Эти осушители могут использоваться для больших бассейнов в качестве местных доводчиков, а также в ночном режиме. В большинстве случаев для обеззараживания воды применяется хлорирование (или озонирование), а это негативно сказывается на работе установленного внутри бассейнов технологического оборудования.
Агрегаты для работы в условиях повышенной влажности должны быть надежно защищены от коррозии, что достигается как за счет конструктивного исполнения, так и за счет специальных покрытий. Желательно, чтобы все стыки были сделаны заподлицо с помощью соединений типа «ласточкин хвост» и сбойных планок. Поскольку у оцинкованных изделий уязвимыми местами являются места резов и гибки, все детали агрегата должны подвергаться горячей оцинковке после вырубки и окончательной формовки.
Для условий особо химически агрессивной среды корпус агрегата может покрываться изнутри и снаружи специальной эмалью. Теплообменники лучше всего изготавливать из анодированного алюминия с эпоксидным покрытием. Инфильтрация наружного воздуха через двери и неплотности ограждающих конструкций, хорошее качество воздухораспределения способствуют тому, что в реальных условиях требуется меньшая производительность осушения, чем по расчету.
Подаваемый в помещение после обработки воздух является сухим и теплым, поэтому выпадение из него влаги не наблюдается. В небольших бассейнах приточный воздушный поток, обладающий высокой скоростью, необходимо подавать снизу вдоль стен и окон по периметру помещения. Вытяжной влажный воздух следует забирать на более высокой отметке с противоположной стороны.
При проектировании крупных бассейнов и крытых аквапарков с высокими потолками и сложной организацией внутреннего пространства, обеспечение подачи воздуха в различные обслуживаемые зоны является непростой задачей, т.к. для каждой зоны, как правило, требуется свой микроклимат. Значительные внутренние тепловыделения способствуют формированию большого градиента температур по высоте здания.
В результате под потолком скапливаются массы перегретого воздуха, создающие в зимних условиях резкий температурный контраст на поверхности кровли, следствием чего, помимо дополнительных теплопотерь, являются повышенные механические напряжения несущих конструкций. Предотвратить стратификацию температуры воздуха и обеспечить оптимальную его раздачу в сооружениях с высокими потолками позволяют воздухораспределители инжекционного типа, создающие турбулентные закрученные струи [4].
Струи с сильной инжекцией в корневой части имеют большую дальнобойность и позволяют подавать воздух вертикально вниз с высоты до 20 м. Регулирование дальнобойности струи основано на эффекте закручивания потока и производится поворотом направляющих лопаток. Инжекционные воздухораспределители обеспечивают градиент температур по высоте здания в пределах 0,1 °C/м (максимум — 0,15 °C/м).Таким образом, при высоте потолков порядка 18–20 м перегрев воздуха под потолком не превышает 3 °С [5].
Температура в зоне нахождения зрителей должна соответствовать допустимым значениям для общественных зданий и может быть снижена до 20 °C. Чтобы создать дополнительный воздушный поток в зрительской зоне при большом наплыве народа, необходимо установить вспомогательное оборудование. Особое внимание здесь следует уделить выбору мест установки приточных диффузоров. К примеру, можно направить поток сухого воздуха непосредственно на зрителей, установив вытяжные решетки за трибунами.
Правильная работа систем обеспечения микроклимата во многом зависит от качества монтажа воздуховодов, которые следует устанавливать так, чтобы в них не образовывался конденсат. Все стыки приточных и вытяжных воздуховодов должны быть плотно герметизированы, включая их соединения с приточными решетками, вентиляторами, вытяжными решетками. Особое внимание следует уделить вытяжным воздуховодам, работающим под разрежением.
Когда в них появляются щели, туда засасывается воздух из некондиционируемых помещений, в результате чего образуется конденсат и нарушается нормальная работа оборудования, используемого для снижения влажности. Если воздуховоды проложены снаружи кондиционируемого помещения, они должны быть теплоизолированы.
Применение воздушной струи для защиты ограждающих конструкций от выпадения конденсата
Задача расчета защиты воздушной струей внутренней поверхности ограждающей конструкции от выпадения конденсата всегда привлекала внимание специалистов. Особую актуальность она приобрела в последние годы в связи с широким применением остекленных поверхностей. Эффективным средством борьбы с образованием конденсата на внутренней поверхности ограждающей конструкции здания может служить тепловоздушная струя. Обеспечить условия невыпадения конденсата с помощью воздушной струи можно двумя способами:
- интенсифицировать процесс теплообмена за счет увеличения температуры и скорости движения воздуха у поверхности ограждения;
- создать такую воздушную среду, в которой влагосодержание будет ниже, чем влагосодержание воздуха в объеме помещения.
Следует отметить, что у внутренней поверхности холодных витражных блоков сверху образуется гравитационный поток свободной конвекции. При этом нагретая струя, направляемая снизу вдоль витражных блоков, и естественный охлажденный ток воздуха, ниспадающий сверху, взаимодействуют между собой. Задача состоит в следующем: необходимо определить интенсивность тепломассобмена в пограничном слое в зоне восходящей воздушной струи и найти дальнобойность струи, определяющую высоту, на которой она встречается с ниспадающим конвективным потоком.
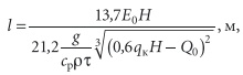
В этом сечении скорости восходящей искусственной струи и ниспадающего естественного потока равны между собой. Предполагается, что место встречи струй находится выше той области, которая как раз и подлежит защите — в противном случае в условиях, которые мы рассматриваем, не вся требуемая часть внутренней поверхности витражных блоков будет защищена от выпадения конденсата. Для расчета воспользуемся формулой определения дальнобойности струй, приведенной в работе [6]:

где Е0 = u02a — начальный кинематический импульс струи, м3/с2; Н — высота помещения, м; g — ускорение силы тяжести, м/с2; ср — удельная теплоемкость воздуха, кДж/(кг⋅°С); ρ — плотность воздуха, кг/м3; τ — температура внутренней поверхности ограждающей конструкции, °С; qк — удельный секундный конвективный тепловой поток от струи к стене, принимаемый неизменным по высоте, кДж/(м2⋅с); Q0 — начальное избыточное теплосодержание воздуха, кДж/(м⋅с).
Начальное количество избыточной теплоты струи, истекающей из щели шириной b, равноQ0 = bv0ρcpΔt0, кДж/(м⋅с).где v0 — начальная скорость истечения; ср — удельная теплоемкость воздуха, кДж/(кг⋅°С). Значение Δt0 определяется по формулеΔt0 = tстр – tпом, °С,где tстр, tпом — температура воздуха в струе и помещении соответственно. Удельный секундный конвективный тепловой поток от струи к стене равен:

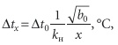
где x — расстояние от щели воздухораспределителя до рассматриваемой точки (область, которую необходимо защитить), м; m — скоростной коэффициент для прямоугольного щелевого отверстия (см. [7], табл. 4.1); n = 2 — температурный коэффициент для прямоугольного щелевого отверстия (см. [7], табл. 4.1); В — ширина помещения, обслуживаемая одним воздухораспределителем, м; с — удельная теплоемкость воздуха, кДж/(кг⋅°С); vx — скорость в сечении x, м/с; Δtx — разность температур в сечении x, °С.
Скорость в сечении x:

Разность температур в сечении x:

где kн — коэффициент неизотермичности, определяемый по формуле:

Здесь Arx — критерий Архимеда в сечении х = 18 м:

где Ar0 — критерий Архимеда в начальный момент. Если пренебречь внутренней областью течения и предположить, что полуограниченная струя состоит из внешнего струйного потока, а импульс в этом потоке полагать постоянным, то можно воспользоваться предположением В.В. Батурина [8] и рассматривать полуограниченную струю как половину свободной струи, имеющую двойную площадь. При этом максимальная скорость увеличится в √2⎯, т.е. vx√2⎯, м/с.Подтверждением эффективности выбранной схемы воздухораспределения являются замеры, сделанные в зале бассейна «Нептун» (г. Новосибирск) в период с 19 марта по 28 апреля 2008 г. (см. таблицу и рис. 2). Как видно из замеров, градиент температуры по высоте невелик, что говорит о равномерности теплового поля в зале чаши бассейна.
Выводы
Перед проектировщиком состоит сложная задача обеспечения комфорта пользователей бассейна и благополучия собственников сооружения. Это подразумевает большую ответственность, которая обусловлена высокой ценой (в прямом и переносном смысле) технических решений при выборе материалов, конструкции здания и проектировании инженерных систем. Принятые решения во многом влияют на мощности, энергоэффективность, безопасность и ресурс здания.
Особую важность имеют такие параметры микроклимата, как влажность, подвижность воздуха в обслуживаемой зоне и равномерность распределения температуры по высоте здания. Заказчикам и владельцам бассейнов следует иметь в виду, что устанавливать обычные кондиционеры в бассейнах нецелесообразно, поэтому стоит обратить внимание на более дорогое и при этом более функциональное специализированное оборудование.
Обслуживание систем обеспечивающих оптимальные параметры воздуха, с учетом сложных и часто агрессивных условий работы, требует привлечения высококвалифицированных специалистов и досконального соблюдения сервисных регламентов. Наиболее экономичным и эффективным способом борьбы с избыточной влажностью является так называемый конденсационный способ осушения. Учитывая, что бассейны и аквапарки отличаются высоким потреблением энергетических ресурсов, в условиях постоянного роста тарифов становится все более выгодно использовать рекуператоры тепла и тепловые насосы. Энергосберегающие решения дают ощутимую годовую экономию, при этом срок окупаемости необходимых капитальных вложений составляет несколько лет.
Направление строительства закрытых аквапарков еще молодое, оно получило свое развитие благодаря появлению новых материалов и технологий. Необходимо использовать передовой опыт и новые, уже апробированные технические решения. Среди надежного и эффективного вентиляционного оборудования заслуживают внимания инжекционные воздухораспределители с закручиванием струи.
Эти устройства, с одной стороны, обеспечивают автоматическое регулирование температуры и скорости воздуха в обслуживаемой зоне, а другой — выравнивают градиент температуры воздуха по всей высоте сооружения. При расчете схемы воздухо-распределения следует гибко подходить как к выбору вентиляционного оборудования, так и к вопросам зонирования помещений. Часто аквапарки или большие спортивные бассейны возводятся по индивидуальному проекту, что усложняет задачу организации эффективного воздухообмена.
Многовариантные расчеты сложно выполнить без использования моделирования процессов подачи воздуха и распределения скоростей и температур в помещении. Математическое моделирование обычно проводится с использованием программ решения задач механики жидкости и газа (Сomputational Fluid Dynamics — CFD).Помимо всего прочего, необходимо учитывать параметры наружного воздуха и архитектурные особенности помещения.
Например, значительная площадь остекления южной стороны бассейна или большие световые люки создают дополнительные нагрузки по охлаждению. Сложный комплекс вопросов, возникающих при создании проекта аквапарка или современного бассейна, требует высокой профессиональной культуры и широкого научно-технического кругозора от архитекторов, строителей и инженеров.