Точка зрения о неприемлемости использования электроэнергии для целей теплоснабжения является почти общепринятой. В Концепции РАО «ЕЭС России» [1] отмечается «Нужны веские причины, чтобы дважды преобразовывать энергию топлива: сначала из тепла, выделившегося при сжигании топлива, получать электроэнергию с КПД не более 50 %, а затем электрическую энергию вновь преобразовывать в тепловую (пусть даже с КПД близким к 100 %)».
Можно показать, что это утверждение справедливо лишь в случае, если производство электроэнергии осуществляется в конденсационном режиме. Для оценки затрат энергии для теплоснабжения с применением электроэнергии предполагается гипотетическая схема, в которой вся энергия от ТЭЦ потребляется одной группой потребителей, соотношение электрической и тепловой мощностей ТЭЦ постоянны, постоянны также тепловая и электрическая нагрузки потребителей.
Теплоснабжение объектов осуществляется либо только водяной системой, либо только за счет потребления электроэнергии (для объектов, не входящих в зону теплового покрытия ТЭЦ). В действительности возможно применение комбинированной системы, которая в рамках всей группы потребителей рассматриваемой ТЭЦ может обладать более высокой экономичностью. Целью рассматриваемого примера является не технико-экономическое обоснование целесообразности применения той или иной системы, а всего лишь сравнение затрат первичных энергоресурсов. Вводятся следующие соотношения:
- ψ = Qд/Nд — отношение тепловой производительности ТЭЦ Qд к ее электрической мощности Nд;
- γ = Qтp/Nтp — отношение требуемой тепловой нагрузки потребителей Qтp к требуемой электрической нагрузке потребителей Nтp.
С учетом принятых соотношений, дополнительная тепловая мощность котельной, обеспечивающей требуемое количество тепла:
ΔQ = Qтp – Qд = Nтp(γ – ψ).
Если же недостаток тепловой мощности обеспечивается за счет электротеплоснабжения, дополнительная электрическая мощность ТЭЦ равна
ΔN = Qтр – ψ(Nтр + ΔN),
или же, с учетом принятых вышеперечисленных соотношений,
ΔN = γNтр – ψ(Nтр + ΔN),
и окончательно:

Таким образом, электротеплоснабжение потребует увеличения электрической мощности ТЭЦ, но это будет не пиковая малоэффективная мощность, а базовая — экономичная. Можно заметить, что в частном случае, когда зона теплового покрытия ТЭЦ равна зоне электрического покрытия (ψ = γ), ΔN = 0. Отношение затрат топлива при прямом электроотоплении Δmэ и для случая, когда для покрытия недостающей тепловой мощности используется котельная, Δmк определится из выражения:
ΔQ = ΔmкHuηк,
где Hu — теплотворная способность топлива; ηк — КПД котельной. Дополнительная электрическая мощность ТЭЦ при электроотоплении ΔN = ΔmэHuηэ, здесь ηэ — электрический КПД ТЭЦ, тогда:

Но, поскольку
ψ = Qд/Nд = ηт/ηэ,
где ηт — тепловой КПД ТЭЦ, и также
ηт + ηэ = Kит,
где Kит — коэффициент использования теплоты топлива (фактически это полный КПД ТЭЦ), то окончательно

Получен ожидаемый результат — если при производстве электроэнергии в ТЭЦ «подбирается» по возможности все низкопотенциальное тепло, то соотношение расходов топлива при электротеплоснабжении и при теплоснабжении от котельной определяется лишь соотношением их полных КПД. В настоящее время кпд котельной несколько больше, чем коэффициент использования теплоты топлива ТЭЦ. Например, в [2] приводятся такие значения: ηк = 0,9, Kит = 0,86.
Таким образом, электротеплоснабжение при существующем коэффициенте использования теплоты топлива ТЭЦ, даже если учитывать только затраты топлива, несколько уступает теплоснабжению от котельной. С учетом того, стоимость ТЭЦ значительно превышает стоимость котельной, применение электротеплоснабжения представляется еще менее целесообразным. Однако приведенные выше соотношения учитывают затраты энергии лишь на участке производства энергии.
Если же учесть потери на участках транспортировки и потребления энергии непосредственно в отапливаемых помещениях, то позиции электротеплоснабжения уже не столь безнадежны. С учетом весьма укрупненных показателей потерь энергии, (учтены только те показатели, по которым у рассматриваемых систем есть значительные отличия) приведенное ранее соотношение расходов топлива представится в виде

здесь ηсет.к, ηсет.э — коэффициент, учитывающий потери энергии при ее транспортировке от источника к потребителям, в т.ч. и на привод сетевых насосов; ηрег.к, ηрег.э — коэффициент, учитывающий потери энергии вследствие несоответствия затрат энергии требуемому (здесь же учитываются «перетопы», потери в теплообменных аппаратах и т.п.). С учетом указанных потерь система электротеплоснабжения может оказаться предпочтительнее.
И если потери в тепловых сетях в случае применения труб с пенополиуретановой изоляцией могут оказаться не выше, чем технические потери в электрических сетях, то все энергетическое преимущество прямого электроотопления будет обеспечиваться за счет рационального управления теплоснабжением и, в т.ч., и учета отпускаемой энергии. Так, например, по данным [3] применение местных электрических нагревательных приборов с автоматическим терморегулированием отдельных помещений снижает годовой расход энергии на отопление не менее чем на 30 %.
К преимуществам электроотопления при использовании аккумуляции тепла может добавиться и возможность работы ТЭЦ в более экономичном режиме. Аналогичным образом может быть проведена энергетическая оценка применения тепловых насосов для теплоснабжения. В этом случае выражения для теплового баланса примут вид:
Qтр = ψNд + Qтн,
где Qтн — количество теплоты, отдаваемое конденсатором теплового насоса в систему теплоснабжения, Qтн = ΔNтнμтн, где μтн — коэффициент преобразования теплового насоса, равный отношению количества теплоты, снимаемой с конденсатора к электрической мощности, μтн = mкηтн; μк — коэффициент преобразования теплового насоса в цикле Карно, mк = tк/(tк – tи); tк — температура в конденсаторе теплового насоса; tи — температура в испарителе теплового насоса; ηтн — степень приближения реального цикла к циклу Карно, для парокомпрессионного теплового насоса ηтн = 0,5–0,6 [4], ΔNтн — дополнительная электрическая мощность ТЭЦ, необходимая для обеспечения работы теплового насоса. С учетом приведенных соотношений уравнение теплового баланса примет вид:
Nтрγ = ψ(Nтр + ΔNтн) + ΔNтнμтн,
а выражение для дополнительной мощности ТЭЦ, необходимой для привода теплового насоса (тепловых насосов):

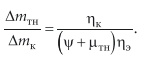
Отношение затрат топлива при теплоснабжении от теплового насоса и для случая, когда для покрытия недостающей тепловой мощности используется котельная:

С учетом того, что ψ = ηт/ηэ, это выражение можно представить в виде:

При ηт = 0 (для КЭС) это выражение примет вид:

При температуре в конденсаторе теплового насоса tк = 350 К, температуре в испарителе tи = 290 K, μтн ≈ 3. Поскольку КПД КЭС составляет в настоящее время не более 50 %, то экономия первичных энергоресурсов за счет применения теплового насоса в этом случае не так уж велик. Применение тепловых насосов для целей теплоснабжения более предпочтительно, когда электроэнергия для их привода производится не в конденсационном, а в теплофикационном режиме.
Экономия энергии может значительно увеличиться при повышении температуры в испарителе теплового насоса за счет утилизации теплоты систем отопления и ГВС и понижения температуры в конденсаторе за счет применения низкотемпературного отопления типа «теплый пол». В любом случае, приближенная оценка показывает, что теплоснабжение, обеспечиваемое электроэнергией, произведенной в теплофикационном режиме, по своим энергетическим характеристикам практически не уступает комбинированному — от ТЭЦ и котельной.
Таким образом, можно утверждать, что в идее электроотопления нет ничего «крамольного». «Степень технического совершенства потребителей тепловой и электрической энергии должна определяться по коэффициенту полезного использования топлива. КПИТ — это тот обобщенный универсальный показатель, который определяет степень технологической грамотности при решении задач по энергосбережению, как для потребителей, так и для производителей тепловой и электрической энергии.
В настоящее время в практике расчетов и нормирования коэффициент полезного использования КПИТ используется недостаточно широко» [5]. В этой же работе отмечается, что выгоднее работать как можно с большими электрическими нагрузками на турбинах, что является еще одним преимуществом электротеплоснабжения. Другим фактором, ограничивающим в настоящее время возможности применения электротеплоснабжения является то, что в жилищно-коммунальном секторе затраты энергии на теплоснабжение значительно превосходят бытовое потребление электроэнергии. Поэтому даже с учетом аккумулирования тепла пропускная способность электросетей низкого напряжения должна быть значительно увеличена, на что потребуются дополнительные инвестиции [1]. Продолжение следует.