Табл. 1. Результаты расчетов
Табл. 2. Результаты расчетов
Водонапорные башни Рожновского
Основными загородными технологическими схемами подъема и подачи воды являются башенные системы водоснабжения на основе водонапорных башен Рожновского. Вода в таких системах подается в башню из скважин. Подземные источники, в отличие от открытых источников, не подвержены загрязнению. Вода, получаемая из глубоких буровых (артезианских) скважин, сохраняет первозданную чистоту.
Так, пробы воды в контрольных скважинах непосредственно в зоне Чернобыльской АЭС в течение нескольких лет после аварии показали отсутствие радиоактивного загрязнения. Однако из всех существующих скважинных водозаборов более 80 % от их общего числа не обеспечены современными техническими средствами для подъема, хранения и распределения воды. В результате поднятая на поверхность в башню вода хорошего качества после нее становится совершенно непригодной для употребления, поскольку приобретает качество воды из пруда.
Причина в самих башнях. Башни Рожновского, разработанные более полувека назад, неоправданно металлоемки, имеют изношенные корпусы, изъеденные коррозией, у некоторых устарел фундамент, и они заваливаются. Они негерметичны и не обеспечивает экологической безопасности. Башни зачастую не имеют крыши, а если она есть, то либо она дырявая, либо на ней поселяются пернатые.
Продукты их жизнедеятельности засоряют воду, добавляя загрязнения, полученные в результате их негерметичности. Башни требуют ремонта и при дальнейшей эксплуатации технического ухода, но в большинстве случаев они не ремонтно-пригодны и их нужно заменить. Как показывает технико-экономический анализ, приведенный ниже, ни ремонт, ни, тем более, замена экономически не выгодны.
Кроме того, их работоспособность вследствие отсутствия утепления и обогрева в зимнее время неудовлетворительна: в условиях России они часто замерзают, превращаясь в ледяные столбы, что полностью нарушает водоснабжение. Башни Рожновского не обеспечивают требуемых напоров воды. Напор 15 м водн. ст., создаваемый башней, совершенно недостаточен, вследствие чего водопроводную воду получают лишь потребители, расположенные вблизи башни.
Недопустимо высока аварийность погружных насосов, ресурс которых практически не превышает 1 года. Отсутствие станций управления и защиты приводит к дополнительному снижению рабочего ресурса насосного оборудования. Ежегодно выходит из строя 50–60 % всех эксплуатируемых электронасосов, что полностью нарушает водоснабжение, а их ремонт ежегодно требует миллионы рублей.
Сегодня сложились все условия для широкого перехода к принципиально иным, полностью герметизированным безбашенным прямоточным схемам водоснабжения, обеспечивающим экологическую безопасность, а также существенную экономию всех видов ресурсов: материалов, энергии, денежных средств и живого труда. Основным отличием таких схем является использование вместо водонапорной башни частотно-регулируемого привода насосного агрегата.
При этом обеспечены прямоточный принцип подачи воды без промежуточных емкостей и герметичность системы. Прямоточные схемы гарантируют высокий напор, надежное водоснабжение производственного и жилого сектора села, экономию воды и электроэнергии, снижение металлоемкости, а также полную экологическую безопасность: надежную защиту питьевой воды от любых химических загрязнений, бактерий и вирусов, радиации и т.п.
Инновационная прямоточная схема подачи и распределения воды может быть практически реализована насосными станциями подготовки и подачи воды заводской готовности контейнерного типа «СКАТ» (патент РФ №2308612), разработанными во Всероссийском НИИ электрификации сельского хозяйства.«СКАТ» состоит из контейнера, в котором размещены: частотный электропривод насоса и другое оборудование, в том числе водоподготовительное.
Водоподготовительное оборудование поставляется по результатам анализа воды и в некоторых случаях не требуется. Постоянство необходимого напора при любых расходах, в любое время, даже ночью, когда нет расхода, без дополнительного напорного оборудования обеспечивается частотным электроприводом с режимом «sleep». За счет использования такого режима напор в системе сохраняется даже при нулевом расходе, т.е. закрытых задвижках и кранах.
При начале водоразбора напор не снижается и поддерживается постоянным при увеличении расхода. Башня не нужна. Трубопровод подает воду сразу из скважины в водопроводный кран, при этом вода по пути находится в герметичной оболочке трубопровода. Частотный привод обеспечивает не только регулирование расхода и стабилизацию напора, но и качественную и эффективную защиту насоса, основанную на интеллектуальном принципе контроля и реагировании на аварийные ситуации с помощью процессора.«СКАТ» в полной мере и на более эффективной основе заменяет башню.
Для замены на местах готовые «СКАТы» устанавливаются автокраном непосредственно на прежнюю скважину и подключаются к электрической сети с одной стороны и к насосу и датчику с другой. Система готова к эксплуатации. Кроме того, «СКАТ» имеет встроенную систему дистанционного контроля и управления технологическими режимами на основе протокола GSM. Прямоточная технологическая схема является инновационной, наиболее близкой к башенной схеме по составу элементов и технологическим задачам. Технико-экономическая оценка показала явную эффективность таких схем.
Технико-экономические оценки
Башенная технологическая схема и прямоточная технологическая схема являются альтернативными, поскольку состав оборудования одинаков для обеих схем за исключением башни, которая заменяется преобразователем частоты. Поэтому они пригодны для сравнительного экономического анализа. В процессе технико-экономического сравнения рассматривают всего два варианта, и оба они предназначены для обеспечения водой одного типоразмера по составу и количеству потребителей.
Однако существует несколько типоразмеров, поэтому сравнительная оценка должна производиться для двух альтернативных схем каждого типоразмера. При сравнении целесообразно учитывать капитальные и связанные с ними эксплуатационные затраты только тех составных частей, которые в обоих вариантах различны.
А затраты одинаковых частей, например, скважины, здания (сделаем допущение, что стоимость кирпичного павильона насосной станции равна стоимости отдельного контейнера), водоподготовительного и другого оборудования учитывать не будем, поскольку при вычитании они дадут нулевой результат. В качестве критерия определения экономической эффективности при сравнении альтернативных вариантов в водоснабжении нужно использовать минимум приведенных годовых затрат [руб.] на производство продукции (на подачу воды):

где — затраты на элемент оборудования; pae — коэффициент амортизации; E — коэффициент эффективности капиталовложений, равный 0,1 [1]; Ke — капитальные затраты, руб.; Top = 0,1Ke — стоимость трудозатрат на ремонт и техническое обслуживание, равная 10 % от стоимости капитальных вложений [1], руб.; Эe — затраты электроэнергии, руб.Капитальные затраты равны сумме затрат по каждому элементу e технологической схемы Ke, затраты энергии Э равны сумме затрат электроэнергии каждым из рассматриваемых элементов схемы Эe.
Коэффициент амортизации, равный 0,125, и коэффициент эффективности капиталовложений одинаковы для всех рассматриваемых элементов. Электроэнергия в основном тратится на подъем и подачу воды потребителям. С учетом этого получим:

В этой формуле неизвестными остаются затраты на электроэнергию, которые определяются энергопотреблением электронасоса и зависят от расхода в сети, давления и КПД насосного агрегата, причем расход в сети носит случайный, зависимый от времени характер, поэтому определяется сложной вероятностной моделью:
Q(t) = [q(t) + q] + [q(t) – 3q], (2)
где q — математическое ожидание; q — среднеквадратическое отклонение. Математическая модель случайного расхода представлена в виде суммы центрированной составляющей (первая квадратная скобка) и детерминированной приведенной составляющей (вторая квадратная скобка) [2].Такая модель присуща всем системам водоснабжения, где режим водопотребления определяется большим числом мелких потребителей.
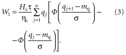
При этом закон плотности распределения центрированной составляющей всегда будет нормальным. В качестве примера для нашего расчета возьмем параметры и характеристики модели расхода небольшого загородного поселка (см. табл. 1).В башенной технологической схеме потребляемая электронасосом электроэнергия есть функция только одного аргумента — времени работы электронасоса, поскольку мощность электронасоса в такой схеме — величина постоянная и определена одной рабочей точкой на его напорной характеристике, которая поддерживается аппаратурой автоматики.
В общем случае потребляемая электроэнергия может быть рассчитана по известной формуле [2]:

где — интервал времени, за который определяется энергопотребление; Hc — постоянный напор, м водн. ст.; j — индекс итерации под знаком суммы; — интегральная функция нормального распределения (значения приводятся в таблицах для нормированной случайной величины, выраженной в кратностях среднеквадратического отклонения), qj+1 – qj = q — шаг итерации; n — число шагов в интервале [0; Qmax]; hc — КПД насосного агрегата в рабочей точке, определяемой постоянным уровнем воды в башне.
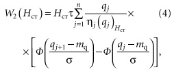
В прямоточной технологической схеме с учетом случайного характер расхода q(t) и постоянного давления в сети Hст энергопотребление регулируемого электронасоса определяется согласно известному выражению [2]:

где Hст — давление стабилизации на входе потребляющей части; hj(qj)Hст — зависимость КПД электронасоса от значений случайной величины qj при постоянном давлении Нст [3].Математическая модель для расчета экономического эффекта в общем виде представлена разностью приведенных затрат по первому и второму варианту:
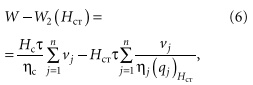
e = 1 – 2 = 0,325Si(K1i – K2i) –– Si(W1 – W2Hст). (5)
Преобразуем в (5) последнюю разность. Для этого перепишем ее с учетом (3) и (4), введя обозначение v для произведения расхода на вероятность его появления:

где vj — вероятный расход:

Постоянное давление Hc на входе потребляющей части башенной схемы определяется высотой столба воды в башне, такое же давление Hст для прямоточной схемы обеспечивается системой стабилизации давления преобразователя частоты. В первом случае Hc определяется конструкцией башни, во втором случае Hст — поворотом потенциометра задатчика уставки давления. Условимся, что эти две величины равны: Hст = Hc.С учетом этих замечаний и преобразований запишем (6) в виде:

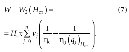
Учитывая, что в году 8760 часов, а тариф на электроэнергию равен c, окончательно получаем математическую модель для расчета оценки инновационного эффекта от замены башенной технологической схемы водоснабжения на прямоточную:

где K1б, K2у — капитальные затраты на башню и устройство управления с преобразователем частоты; 372 — коэффициент размерностей для H [м водн. ст.] и q [м3/ч].Объем поданной воды равен произведению расхода на время. Поскольку расход определяется потоком водопотребления и имеет случайный характер, то объем производимой продукции (поданной воды) определяется интегралом случайной функции расхода по времени за рассматриваемый интервал времени — год.
Для практических расчетов интеграл заменяется знаком суммы. Зная объем производимой продукции, рассчитаем разность полных приведенных затрат и разность капитальных вложений на единицу продукции. Кроме того, рассчитаем экономию капитальных вложений по сравниваемым вариантам. Данные по стоимости оборудования возьмем из каталогов, приводимых торговыми организациями в Интернете. Результаты сведем в табл. 2.
Проанализируем полученные данные
- Прямоточная технологическая схема эффективна для всех типоразмеров по сравнению с башенной схемой. Разность полных приведенных затрат, определяющая эффективность схемы для разных типоразмеров, колеблется от 112,65 до 174,48 тыс. руб. на одну единицу.
- Замена башни на преобразователь частоты не всегда дает экономию электроэнергии. Это объясняется тем, что она определяется разностью КПД насосных агрегатов в сравниваемых схемах (8). Поскольку КПД в башенной схеме постоянен и в некоторых типоразмерах равен максимальной величине, а у частотно-регулируемых насосов изменяется в диапазоне регулирования производительности, то во втором случае средняя величина КПД всегда будет меньше максимально возможной. Но в большинстве случаев подобрать насосный агрегат с рабочей точкой в номинале не удается и его КПД оказывается чуть меньше, чем с частотным регулированием. Этим объясняется маленькая разность затрат на электроэнергию, которая в среднем составляет 8 % от разности полных приведенных затрат.
- Экономия капитальных вложений как доминирующая составная часть полных затрат для разных типоразмеров составляет 65–85 %.
- Экономия затрат в зависимости от типоразмеров изменяется незначительно. Поэтому разность полных приведенных затрат на единицу продукции с увеличением типоразмера уменьшается с 3,98 до 0,53 руб/м3.
Оценку общего экономического эффекта, получаемого заменой морально и технически устаревших башенных технологических схем водообеспечения на прямоточные схемы проведем на примере Подмосковного региона. По данным статистики в Подмосковье насчитывается 438 аграрных хозяйств различного направления. Среднее количество систем в одном хозяйстве равно двум.
Общее количество для Подмосковья — более 870 шт.Стоимость насосных станций подготовки и подачи воды заводской готовности контейнерного типа без оборудования подготовки воды возьмем из каталогов. Она колеблется от 174,0 до 448,32 тыс. руб. Подавляющее большинство применяемых типоразмеров — 10 и 16 м3/ч. Стоимость доставки и монтажа колеблется от 40 до 70 тыс. руб.
Общая стоимость замены равна 220–270 млн руб.Замена устаревших башен на новые потребует 360–450 млн руб., при этом сохранятся все присущие этой схеме проблемы. Таким образом, экономия только по капвложениям при внедрении новой инновационной схемы водообеспечения составит 140–180 млн руб. Кроме того, будет обеспечен экологический и социальный эффект, связанный с улучшением качества воды.