Рис. 1. Принципиальная схема комбинированных систем кондиционирования воздуха
Рис. 2. VRF-система кондиционирования серии S GENERAL
Рис. 3. Неравномерный тепловой режим помещений
Рис. 4. Интегральная функция распределения вероятности температуры внутреннего воздуха в офисном помещении
Рис. 5. l–d-диаграмма влажного воздуха
С точки зрения используемого холодо- или теплоносителя многозональные системы могут быть воздушными (VAV) и комбинированными (рис. 1): водо-воздушными (чиллер–фанкойлы) или фреоно-воздушными (VRF). Причем выбор энергоносителя влияет на конструктивно-компоновочные и эксплуатационно-энергетические характеристики системы, но зачастую не является определяющим для функционально-технологических критериев.
Это означает, что решить задачу многозонального кондиционирования помещений вполне возможно как с помощью воздушных СКВ, так и с помощью комбинированных водяных или фреоновых. Все возложенные на систему функции по поддержанию требуемых параметров воздушной среды будут выполнены.
Однако системы различны, следовательно, при одинаковом функциональном результате будут получены различные величины габаритов оборудования, расходов энергии, капитальных затрат и т.д.Выбору оптимального варианта многозональных систем кондиционирования воздуха посвящено множество исследований [1], он должен производиться с учетом многих факторов.
В первую очередь необходимо определить основные критерии для каждого варианта системы кондиционирования. Поэтому никогда нельзя заранее сказать, что для какого-нибудь объекта однозначно будет оптимальна именно система VRF или чиллер–фанкойл. В конечном итоге, выбор типа системы кондиционирования определяется рядом критериев для каждого случая (габариты, цена, предел потребляемой мощности, скорость монтажа, уровень шума и т.д.).
Но в данной статье рассматриваются именно принципы расчета многозональных систем кондиционирования, которые как раз являются общими для всех систем данного класса. Традиционно в нашей стране сильна теоретическая база по воздушным системам кондиционирования. В частности воздушным многозональным системам посвящена книга А.Г. Сотникова «Системы кондиционирования и вентиляции с переменным расходом воздуха» [2].
Однако развитие климатической техники во второй половине XX в показало значительные преимущества комбинированных систем кондиционирования: тепловую и влажностную нагрузку несут местные кондиционеры (фанкойлы или внутренние блоки VRF), а чистоту воздуха поддерживают системы вентиляции или центральные воздушные кондиционеры.
По целому ряду функциональных особенностей комбинированные системы кондиционирования можно отнести к многозональным, сегодня они широко применяются благодаря своим следующим преимуществам:
1. Компактность
Объемная теплоемкость воздуха составляет 1,2 кДж/(°С•м3). Для укрупненной оценки примем максимальный перепад температур между приточным и вытяжным воздухом равным 10°С.Тогда потенциальная энергоемкость воздуха как холодоносителя равна 12 кДж/ м3.
Сравнивая воздушные с водяными или фреоновыми системами кондиционирования, объемная энергоемкость которых составляет соответственно 20 тыс. кДж/ м3 и 270 тыс. кДж/ м3, становится понятно, что при одинаковых функциональных характеристиках габариты только воздушных систем, как правило, в разы превышают размеры систем комбинированных.
2. Точность регулирования
Однозональные системы кондиционирования предназначены для обслуживания помещений с подобной тепловой нагрузкой. Например, это помещения, расположенные по одному фасаду здания. Изменение величины теплоизбытков связано в основном с объемом солнечной радиации. Поэтому регулирование производительности однозональных систем осуществляется, как правило, по одному контрольному помещению.
Если строго подходить к расчету теплового режима помещений, то необходимо отметить, что абсолютно подобных тепловых режимов не существует. В любой группе помещений в большей или меньшей степени присутствует неодновременность теплоизбытков (рис. 3). Причем причины неодновременности можно разделить на две составляющие:
- Первая — явная (детерминированная), к которой относится режим использования. Система кондиционирования обслуживает группу помещений, например, зал совещаний и офисные помещения. Во время проведения совещания нагрузка на офисные помещения значительно снижается, т.к. все сотрудники находятся в это время в зале. И наоборот, когда совещания нет, система кондиционирования в зале отключена, а офисные помещения испытывают максимумы теплоизбытков.
- Вторая причина неодновременности — стохастическая (вероятностная). Как правило, расчет теплоизбытков помещений ведется исходя из максимальной загрузки оборудования, максимального количества людей, максимальной солнечной радиации и т.д. Когда система кондиционирования обслуживает большое количество помещений, вступает в силу закон больших чисел. Вероятность того, что все эти максимумы будут одновременны, крайне низка. В целом как детерминированные, так и стохастические причины неодновременности говорят о невозможности поддержания требуемых параметров микроклимата в группе помещений с помощью однозональных систем. Именно многозональные СКВ являются сегодня единственным вариантом, полностью соответствующим понятию «комфортное кондиционирование помещений».
3. Энергетическая эффективность
Комбинированные многозональные системы потребляют значительно меньшеэлектроэнергии, чем, например, однозональные воздушные. Это достигается за счет многих факторов: отсутствия перерасхода холода (тепла) благодаря точности регулировки и учету неодновременности нагрузки; сокращению потерь при транспортировке, т.к. площадь поверхности трубопроводов значительно меньше, чем воздуховодов; возможно отключение кондиционирования неиспользуемых помещений; близость источника холода (тепла) и обслуживаемого помещения и т.д.
За счет этих факторов многозональные системы кондиционирования, как правило, в 1,5–2 раза меньше потребляют энергии, чем однозональные. Все вышеперечисленные преимущества обусловили активное применение многозональных систем кондиционирования как в нашей стране, так и во всем мире.
Естественно, существует потребность в разработке методик расчета многозональных СКВ и различные авторы делают такие попытки [3]. Предлагаемые варианты и решения не всегда однозначны, что вызывает справедливую полемику на страницах уважаемых специализированных журналов [4].
В статье [3] были рассмотрены варианты расчета многозональных систем типа чиллер–фанкойлы, однако некоторые изложенные в ней выводы и методы достаточно спорны.
Необходимо отметить, что расчет систем типа чиллер–фанкойлы должен строиться, прежде всего, исходя из того, что это многозональная система, поэтому большая часть формул, совершенно адекватных для однозональных систем, не подходят для расчета многозональной СКВ.
Какие существуют принципиальные отличия в методике расчета многозональных СКВ?
1. Фактические параметры внутреннего воздуха при проектировании в виде точки знать невозможно, нужно понимать, что мы можем определить лишь область возможных значений.
Объясняется это следующими факторами:
Почему нельзя однозначно знать температуру внутреннего воздуха? Дело в том, что в руках пользователя многозональной СКВ очень мощный инструмент, разрушающий все стереотипные методики расчета систем кондиционирования, — пульт управления.
Зачастую пользователь не знает, какая расчетная температура заложена проектировщиком для его помещения, а если и знает, то это для него не более чем абстрактная цифра. Он устанавливает ту температуру, которая для него комфортна.Согласно множеству исследований [5; 6; 7], комфортная температура для всех людей разная (рис. 4).
Поэтому задав в качестве расчетной температуру в помещении, например, 25°C, проектировщик гарантированно получит по статистике неудовлетворенность 90% пользователей. Имея в руках пульт управления, они просто установят оптимальную для них температуру.
В этом случае внутренний блок (местный кондиционер), поддерживая требуемую, как правило, более низкую температуру (относительно проекта, но не по мнению пользователя), будет забирать большее количество холода от наружного блока или холодильной машины. Поэтому мощности источника холода, рассчитанной на поддержание температуры во всех помещениях на уровне 25°С, не хватит для поддержания выбранной пользователями температуры, например, 22°C.
Количество холода — это количество холодоносителя, поступающего к местным кондиционерам, следовательно те внутренние блоки, которые находятся на гидравлически коротких циркуляционных кольцах, будут поддерживать требуемую температуру воздуха (22°C или даже 18°C). Блоки, находящиеся на более удаленных участках, не смогут поддержать даже проектные 25°C, т.к. остальные местные кондиционеры перерасходовали холодоноситель относительно проектных значений.
Поэтому когда требуется выбрать температуру внутреннего воздуха при проектировании многозональной системы, необходимо, во-первых, понимать, что это расчетная, а не фактическая температура,во-вторых, выбранная температура будет средней, в-третьих, с точки зрения статистики расчетную температуру в помещениях рекомендуется принимать равной 22°C.
Почему нельзя однозначно знать относительную влажность внутреннего воздуха? Дело в том, что рассматриваемые системы комфортного кондиционирования не поддерживают определенное значение относительной влажности в помещениях. Они производят осушение воздуха в теплый период года до величины φ≥ 30%, но поддержать определенное значение φ не могут [8].
Фактическая величина относительной влажности зависит от многих факторов: влагосодержания приточного и вытяжного воздуха; количества влаги, выделяемой людьми и удаляемой местными кондиционерами. Количество влаги, удаляемой местными кондиционерами, зависит в свою очередь от конструкции местного кондиционера, типа холодоносителя, выбранной скорости вращения вентилятора, требуемой температуры внутреннего воздуха.
Таким образом, как минимум температура внутреннего воздуха является статистическим параметром и относительная влажность в помещениях однозначно (в виде конкретного значения) задаваться не может.
2. При расчете производительности источника холода (наружного блока) учитывается неодновременность максимумов потребителей холода (внутренних блоков).
Как уже отмечалось выше, не существует двух помещений, тепловой режим которых абсолютно подобен.Многозональные системы кондиционирования по определению обслуживают несколько помещений, при условии неодновременности максимумов теплоизбытков.
Причем, чем больше помещений объединены в одну систему, тем больше, с одной стороны, неодновременность максимумов (понижающий коэффициент), с другой стороны, загрузка источника холода проходит более равномерно.Таким образом, если для расчета однозональных систем кондиционирования мы применяли условие равенства производительности источника и приемников холода, то для расчета многозональных систем всегда должен учитываться коэффициент неодновременности k > 1:

3. Расчетным периодом для местных кондиционеров не всегда является режим максимальнойзагрузки источника холода.
Основная характеристика многозональной системы кондиционирования — независимое регулирование производительности местных кондиционеров. Исходя из теплового режима помещений, режим максимальной нагрузки на местный кондиционер не совпадает с режимом максимальной нагрузки на источник холода. В большей степени этот фактор критичен для систем типа чиллер–фанкойлы.
Регулирование (поддержание) температуры холодоносителя в них производится, как правило, в обратном трубопроводе. При постоянном расходе холодоносителя уменьшение мощности источника холода (чиллера) сопровождается повышением температуры в подающем трубопроводе.
Например, если максимальная производительность чиллера по холоду соответствует температурным параметрам воды (незамерзающей жидкости) 7–12°C, чиллер обслуживает многозональную систему кондиционирования здания, местные кондиционеры в которой частично работают на полную мощность, частично загружены на 50%,а частично выключены.
Какова температура воды на входе в чиллер? 12°C, т.к. чиллер поддерживает ее постоянной. Температура воды на выходе из чиллера составляет примерно 9°C, что соответствует 60% нагрузки. Стандартный перепад температур фанкойла в режиме полной нагрузки — 5°C. Следовательно, параметры холодоносителя в фанкойлах, работающих на полную мощность, — 9°C на входе и 14°C на выходе; в фанкойлах, загруженных по мощности на 50%, — 9°C на входе и 11,5°C на выходе; в отключенных — 9°C на входе и (естественно) 9°C на выходе.
Таким образом, в нашей многозональной системе смешиваются обратные потоки с параметрами 14; 11,5 и 9°С, после чего температура смеси как раз равна 12°C. Получается, что фанкойлы, работающие на 100% мощности в период, когда чиллер загружен на 60%, должны рассчитываться не на 7–12°C, как в однозональной системе, а на 9–14°C, что естественно увеличивает их типоразмер.
Пример
Необходимо подобрать многозональную систему кондиционирования для офисного здания в двух вариантах: VRF GENERAL и чиллер–фанкойлы LENNOX. Для принципиального расчета примем простой вариант: все помещения одного назначения с одинаковой величиной полных теплоизбытков Qп от людей, солнечной радиации и оборудования Qп= 2,5 кВт.
Количество помещений — 100. Приточный воздух в теплый период подается от существующей системы вентиляции без предварительной тепловлажностной обработки с параметрами tн = 28°C, φн = 50%, I = 60,7 кДж/кг.с.в. Количество людей в каждом помещении — 3 человека. Задаем расчетные параметры внутреннего воздуха.
Расчетная (не фактическая!) температура внутреннего воздуха — 22°C. Относительная влажность 30–60%. Определяем величину влаговыделений в помещении от людей: 3 человека x 60 г/ч = 180 г/ч. Определяем теплопоступления с приточным воздухом. Вот здесь существуют отличия в расчете фреоновых систем и водяных.
Все дело в связи температуры холодоносителя и минимальной влажности в помещении при работе системы кондиционирования на холод. Для систем чиллер–фанкойлы средняя температура холодоносителя составляет 10°C. Следовательно при температуре внутреннего воздуха 22°C минимально возможная влажность в помещении составит 45% (Iв = 42,4 кДж/кг.с.в.).
Для систем VRF эти величины соответственно будут равны 5°C и 35% (Iв= 37,9 кДж/кг.с.в.). Мы не можем знать, какая относительная влажность у нас установится в помещении, поэтому в качестве первого приближения примем минимальную влажность внутреннего воздуха. Для расчетов процессов обработки влажного воздуха очень удобно пользоваться i–d-диаграммой, электронная версия которой в свободном доступе находится по адресу: http://www.aircon.ru/technical/software.php.
Максимальные теплопоступления с приточным воздухом для фреоновых систем составляют 0,91 кВт, для водяных — 0,73 кВт. Соответственно требуемая мощность охлаждения местного кондиционера для VRF — 3,41 кВт, для систем чиллер–фанкойлы — 3,23 кВт.
4. Подбираем местный кондиционер (внутренний блок) многозональной системы.
Мы знаем максимальную мощность охлаждения внутреннего блока. Знаем параметры внутреннего воздуха. Этого достаточно для подбора внутреннего блока системы VRF. По каталогу [9] подбираем внутренний блок с условием, что его фактическая мощность при температуре внутреннего воздуха 22°C будет больше или равна требуемой.
Подходит внутренний блок компактного кассетного типа AU18 GENERAL серии S. Его фактическая производительность составляет 4,02 кВт (больше требуемой 3,41 кВт). Для системы чиллер–фанкойлы несколько сложнее. Дело в том, что регулирование мощности охлаждения чиллера производится изменением температуры на выходе чиллера и поддержанием постоянной температуры на входе.
Поэтому для многозональной системы, если расчетный перепад температур для чиллера 7–12°С, то для внутренних блоков эти величины зависят от неодновременности максимумов на местном кондиционере и источнике холода. Примем расчетным максимум загрузки местного кондиционера при загрузке чиллера на 60%.
Тогда температура воздуха на входе в местный кондиционер будет равна 9°С (пример выше), а на выходе— 14°С. Для кассетных моделей CWC LENNOX корректирующий коэффициент при температуре внутреннего воздуха 22°C и параметрах холодоносителя 9 и 14°С равен 0,42. Подбираем фанкойл CWC 090-2P с номинальной полной производительностью 8450 Вт.
Максимальная производительность в наших условиях: 8450 x 0,42 = 3549 Вт, что больше требуемых 3,23 кВт (рис. 5).
5. Подбираем источник холода (наружный блок) многозональной системы.
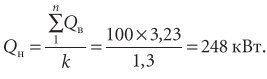
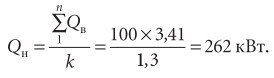
Требуемая производительность источника холода зависит от коэффициента неодновременности тепловой нагрузки здания [1]. Для офисных зданий коэффициент неодновременности может меняться в пределах 1,1 до 1,5.В случае обслуживания многозональной системой кондиционирования помещений, равномерно расположенных на разных фасадах здания, коэффициент неодновременности равен 1,3–1,5.Примем для нашего здания величину 1,3. Следовательно, максимальная мощность охлаждения чиллера равна:

Максимальная мощность охлаждения VRF-систем равна:
