Табл. 1. Формулы для расчета основных параметров воздухораспределения
Табл. 1. Формулы для расчета основных параметров воздухораспределения (окончание)
Табл. 2. Коэффициенты, характеризующие приточный насадок в системе воздухораспределения помещения
Если рассматривать рабочую зону как термодинамически изолированную систему, в которой выделяется равномерно по площади Qрз тепла, а воздух движется со скоростью uд, то для поддержания в этой зоне tрз и uд необходимо подводить тепловую энергию для ассимиляции Qрз тепла и механическую энергию Nрз. В общем случае в рабочую зону необходимо подвести энергию:
Эпол =Qрз + Nрз. (1)
В действительности для поддержания требуемых параметров в рабочей зоне приточным воздухом в помещение вносится тепловая энергия Qo (в виде холода или тепла). Кроме того, приточному и вытяжному воздуху сообщается механическая энергия:

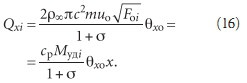
Суммарное количество энергии, затрачиваемое для обеспечения требуемого температурного и скоростного режима в рабочей зоне, составляет:
Эзат =Qо + Nп + Nв. (4)
Термодинамическая эффективность поддержания этих параметров выражается следующим соотношением:

Приняв, что количество приточного воздуха, подаваемого в помещение, равно количеству вытяжного (Vп = Vв = Vо), получаем выражение:

Термодинамическая эффективность поддержания параметров воздуха в рабочей зоне увеличивается с уменьшением скорости подачи воздуха в помещение через приточные насадки uо количества подаваемого воздуха Vо, а также со снижением скорости воздуха в решетках вытяжных систем uв. Однако расходы и скорость воздуха на выходе из приточного насадка взаимосвязаны и выбираются из условия обеспечения требуемой температуры и подвижности воздуха в рабочей зоне при определенных тепловыделениях в рабочей и верхней зонах помещения.
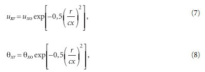
Установим взаимосвязь между величинами Qрз,Qo, uо,Vо для случая подачи приточного воздуха нестесненными слабоизотермичными (архимедовыми силами можно пренебречь) компактными вертикальными струями (рис. 1). Считаем, что температура воздуха в зоне, расположенной между рабочей зоной и приточным насадком (верхняя зона), изменяется по линейному закону t∞x = tрз + а(h – x)= t∞o– ax профили скоростей и избыточных температур в приточных струях подобны и описываются уравнениями:

а скорость воздуха на оси приточных струй определяется по зависимостям x [1]:

Согласно принятым допущениям масса воздуха Mxi в сечении струи на расстоянии x от выходного отверстия рассчитывается следующим образом:

Приращение массы струи на участке dx составляет

приращение массы воздуха в струе на единицу ее длины. В сечении на расстоянии х от отверстия струя содержит по отношению к окружающей среде Qxi холода (тепла), а в сечении на расстоянии x + dx –Q(x + dx)i. Изменение количества холода, несомого струей, равно:
dQxi =Q(x + dx)i – Qxi = –cpaMудixdx. (12)
В момент выхода струи из приточного отверстия количество вносимого ею в помещение холода (ассимилирующая способность струи по теплу) составляет

Проинтегрировав уравнение (12) в пределах от Qв oi при x = 0 до Qxi при x = х, получаем:

т.е. количество холода, несомого одной струей, по мере удаления от выпускного отверстия уменьшается, и на расстоянии

струя практически не будет нести холод (Qxi = 0), а при x > xкр струя будет нести избыточное тепло. Из уравнений (7) и (8) получаем, что количество холода, переносимого струей в сечении, расположенном на расстоянии х от приточного насадка, составляет

Приравняв (14) и (16), получаем зависимость для избыточной температуры воздуха на оси основного участка струи на расстоянии х от выходного отверстия:

Как указывалось, приточная струя в рабочую зону должна внести тепловую энергию (холод) в количестве, равном тепловыделениям в обслуживаемой струей зоне Qрз. Из уравнения (14) получаем, что первоначальный тепловой импульс струи, отнесенный к температуре окружающей среды на уровне выходного отверстия, равен:

Приведем этот тепловой импульс струи на уровень температуры tрз:

Избыточная температура на оси приточной струи должна быть равной

Средняя избыточная температура массы воздуха, входящей в рабочую зону с приточной струей, равна

С данной средней избыточной температурой приточной струей в рабочую зону вносится масса воздуха, равная Мрзi =Mудihi. Эта масса воздуха ассимилирует выделяющееся в рабочей зоне тепло Qрзi и выходит из рабочей зоны со средней температурой tpз + ∆tд/(1 + σ):

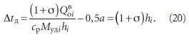
Из последнего выражения следует, что для обеспечения требуемой точности поддержания температуры воздуха в рабочей зоне приточная струя должна вносить в эту зону строго определенную массу воздуха:

С повышением точности поддержания температуры воздуха (∆tд→0) необходимо увеличивать массу воздуха, вносимую струей в рабочую зону (Мрзi→∞). Количество холода, которое должна внести приточная струя в рабочую зону, по отношению к температурному уровню tрз составляет Qрзi = 0,5Qрзi . Раскрыв в (22) Мудi, после преобразований получаем:

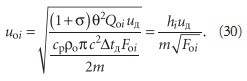
С другой стороны, из условия обеспечения в рабочей зоне uд

Из совместного рассмотрения (24) и (25) следует, что

В рассматриваемом примере протяженность струи от насадка до рабочей зоны и высота расположения приточного отверстия над рабочей зоной совпадают. Поэтому из выражения (26) следует, что протяженность струи от воздуховыпускного отверстия до рабочей зоны однозначно определяется тепловыделениями в рабочей зоне, требуемой точностью поддержания температуры и допустимой скоростью в рабочей зоне. Выразим ассимилируемые одной струей тепловыделения в рабочей зоне через общие тепловыделения в этой зоне Qрз и количество приточных устройств z и получим:

Таким образом, при неизменном тепловыделении в рабочей зоне требуемую точность поддержания параметров можно обеспечить только совместным выбором количества приточных устройств и расстояния приточного насадка до рабочей зоны, т.е.

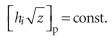
Разность температур воздуха в рабочей зоне и приточного составляет:

и в практике обычно известна из построения в диаграмме i–d-термодинамических процессовобработки воздуха (tрз – tо)=∆tр.В этом случае из уравнения (28) определяется требуемая площадь выходного отверстия:

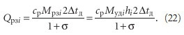
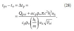
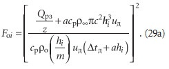
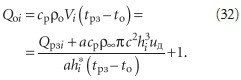
Если ассимилирование всего тепла Qрз происходит несколькими приточными насадками z, установленными на произвольном расстоянии от рабочей зоны hi, то зависимость для Foi может быть записана так:

Используя (26) и (24), получаем выражение для определения скорости истечения:

Для воздухообмена

Тепловой импульс струи на выходе из насадка при hi = hi , определенном при зависимости (26), выразится так:

Из выражений (29–31) следует, что при расположении приточного отверстия на расстоянии от рабочей зоны hi скорость истечения воздуха из приточного отверстия uo, количество приточного воздуха Voi и температура приточного воздуха однозначно определяются площадью выходного отверстия Foi. Если подставить выражение (29) для Foi в зависимости (30–31), то получаем, что при данной температуре приточного воздуха площадь выходного сечения приточного устройства, количество приточного воздуха, скорость его истечения определяются тепловыделениями в рабочей и верхней зонах, а также требованиями, предъявляемыми к параметрам воздуха в рабочей зоне.
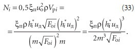
Зависимость для механической энергии, вносимой приточным воздухом в помещение, от величины площади Foi выходного отверстия приточного устройства имеет следующий вид:

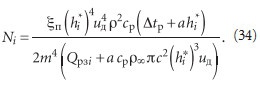
а от перепада температур воздуха в рабочей зоне и приточного воздуха

Из зависимостей (33) и (34) следует, что наименьшие затраты энергии имеют место при распределении приточного воздуха через воздухораспределители с большей площадью выходного отверстия, при уменьшении разности между температурами воздуха в рабочей зоне и температурой приточного воздуха, а также при распределении воздуха через приточные устройства с меньшим коэффициентом местного сопротивления.
Поскольку с повышением точности поддержания температуры воздуха в рабочей зоне ∆tд→0, увеличивается величина hi , то возрастают затраты энергии. Из анализа установленных зависимостей (27–31) следует, что при расчете воздухораспределения в помещениях необходимо высоту установки приточного насадка над рабочей зоной, площадь выходного отверстия насадка, а также количество насадков рассчитывать.
Высота расположения насадка над рабочей зоной — дискретная величина и определяется строительными конструкциями. Площадь выходного сечения приточных насадков также определяется их типоразмерами. Количество устанавливаемых приточных насадков определяют в значительной степени из условия обеспечения равномерности распределения воздуха и площади обслуживаемого помещения.
Из зависимости (34) следует, что если высота помещения выбрана не из условия воздухораспределения и, допустим, высота расположения приточного насадка на 10% превышает требуемое значение (например, 3,3 вместо 3 м), то расход электроэнергии возрастет на 46%. При выборе неоправданно малой высоты помещения невозможно обеспечить требуемую точность поддержания параметров воздуха в рабочей зоне.
Правда, высота помещения и расположения приточных насадков не всегда взаимосвязаны, но в этом случае следует применять различные архитектурные приемы, позволяющие раздавать воздух на требуемом расстоянии от рабочей зоны. В целях уменьшения расхода энергии на воздухораспределение следует ориентироваться на минимальное значение допустимой скорости воздуха в рабочей зоне.
Так, для обычных систем кондиционирования в рабочей зоне рекомендуется поддерживать скорость воздуха 0,3–0,5 м/с. При выборе для расчета максимального значения допустимой скорости перерасход энергии по сравнению с минимальным значением допустимой скорости воздуха доходит до 7,7 раза.
Приведенные формулы для расчета основных параметров, характеризующих воздухораспределение для отсутствия градиента температуры по высоте помещения при различных встречающихся в практике ограничивающих условиях (см. табл. 1). I–IV группы, ограничивающие условия, обычно встречаются при проектировании, II — при наладке и реконструкции, III — могут использоваться при архитектурно-планировочном решении помещения, например, для выбора высоты помещения и, наконец, в IV группе рассматриваются некоторые частные случаи ограничений, накладываемых при расчете воздухораспределения.
Все искомые величины в формулах (см. табл. 1) выраженычерез допустимую точность поддержания температуры и скорость воздуха в рабочей зоне и параметры, которые ограничены и в данном случае постоянны. Как видно из зависимостей, все независимые переменные обусловливаются различными коэффициентами С. Эти коэффициенты определяются m, n и xп (табл. 2), т.е. конструктивными особенностями принимаемого к установке типа приточного насадка.
Сопоставляя коэффициенты С для приточных насадков различных конструкций по интересующему параметру (например, по мощности, расходу воздуха и т.п.), можно выбрать наиболее рациональный для данного случая тип (например, с минимальными затратами мощности). Следовательно, каждая конструкция воздухораздающего приточного насадка должна характеризоваться помимо коэффициентов m, n и xпкоэффициентами С (см. табл. 2).