Рис. 1-4
Для дальнейшего определения характеристик и параметров случайной центрированной составляющей воспользуемся продолжением методики.
1. Активизируем следующую нижнюю ячейку первого столбца, и с помощью команды «Вставка функции» выбираем в окне «Мастер функции» вычисление функции «СТАНДОТКЛОН». Производим вычисление среднеквадратического отклонения выборки значений центрированной составляющей для первого столбца.
2. Используя оператор автоматического расчета по строке, вычисляем значения среднеквадратического отклонения (б-сигма) центрированной составляющей для всех остальных значений моментов времени (столбцов) за сутки. Получаем строку значений б-сигма.
3. В этой строке активизируем соседнюю ячейку с последней значащей ячейкой и с помощью команды «Вставка функции» выбираем в окне «Мастер функции» вычисление функции «СРЗНАЧ». Производим вычисление среднего значения б по строке и находим среднеквадратическое отклонение центрированной случайной составляющей (при условии ее стационарности).
4. Используя полученную строку значений б с помощью команды «Мастер диаграмм», строим графическую зависимость среднеквадратического отклонения в функции времени б(t). На графике матожидания с помощью правой кнопки мыши и окна «Формат рядов данных…» активизируем окно «Линия тренда», в котором выбираем тип аппроксимирующей кривой (в нашем случае «Линейная») и опцию «показывать уравнение на диаграмме». Получаем аппроксимирующую прямую среднеквадратического отклонения и ее аналитическое выражение.
5. Диапазон между макс/мин. значениями центрированной случайной составляющей делим на равные интервалы так, чтобы центр среднего интервала совпал с нулем. Интервал характеризуется двумя крайними значениями, наибольшее из которых в каждом интервале образуют массивинтервалов.
6. С помощью команды «Вставка функции» выбираем в окне «Мастер функции» оператор «ЧАСТОТА». Определяем частоту массива данных относительно массива интервалов — количество значений центрированной составляющей в каждом из своих интервалов.
7. Используя полученные величины частоты появлений случайных значений в каждом интервале с помощью команды «Мастер диаграмм», строим гистограмму распределения случайных значений центрированной составляющей. График б(t) имеет вид переменной случайной функции, у которой почти все значения находятся в интервале от 1 до 2 м3/ч (рис. 1).
Кроме того, аппроксимирующую прямую с достаточным приближением можно считать параллельной оси абсцисс, о чем говорит близкий к нулю коэффициент перед аргументом (определяет наклон графика). В связи с этим можно предположить, что все значения б относятся к совокупности с одной и той же теоретической величиной б, а отклонения вызваны чисто случайными причинами и ограниченного числа измерений.
Гистограмма случайной центрированной составляющей необходима, чтобы определить закон плотности распределения (f), рис. 2. По внешнему виду гистограммы подбираем один из теоретических законов плотности распределения, т.е. выдвигаем гипотезу о соответствии полученного распределения одному из теоретических законов, например нормальному закону Гаусса. На практике, когда расчеты ведутся с помощью электронных таблиц и зависимости имеют табличную форму, находить теоретический закон плотности распределения не имеет смысла.
Полученная гистограмма есть не что иное, как табличная форма закона, который можно непосредственно использовать в расчете. Найдя внешние характеристики и параметры случайной составляющей, необходимо определить характеристики внутренней ее структуры. Под внутренней структурой будем понимать частотные свойства случайной составляющей. Для этого определим корреляционную функцию случайной составляющей, ее параметры. Поскольку она имеет периодический характер, то для решения некоторых практических задач необходимо знать, например, среднюю ее частоту или период.
8. Активизируем следующую нижнюю ячейку первого столбца, и с помощью команды «Вставка функции» выбираем в окне «Мастер функции» вычисление функции «КОРРЕЛ». Производим расчет корреляционного момента для массива содержащегося в первом столбце центрированной составляющей относительно этого же массива. Момент равен 1.
9. Активизируем соседнюю ячейку справа и с помощью команды «Вставка функции» выбираем в окне «Мастер функции» вычисление функции «КОРРЕЛ». Производим расчет корреляционного момента для массива, содержащегося в первом столбце относительно второго. Момент равен числу < 1. В нижней, относительно рассматриваемой, ячейке вычисляем корреляционный момент для массива содержащегося во втором столбце центрированной составляющей относительно этого же массива. Момент равен 1.
10. Далее расчет ведется по аналогии с предыдущими шагами, при этом каждый следующий столбец треугольной матрицы корреляционных моментов увеличивается на ячейку. При этом последнее значение момента в каждом столбце должно равняться 1.
11. Значения нормированной корреляционной функции в зависимости от интервала времени корреляции определяется как среднее всех значений, расположенных по гипотенузам треугольной матрицы корреляционных моментов. Так, первая гипотенуза состоит из 1, поэтому для нулевого интервала времени корреляции значение нормированной корреляционной функции (первая ячейка) равно 1.
Далее активизируем соседнюю справа ячейку и с помощью команды «Вставка функции» выбираем в окне «Мастер функции» вычисление функции «СРЗНАЧ». Подставив в развернутое окно «Строки формул» величины корреляционных моментов, образующих следующую гипотенузу, лежащую выше той, что состоит из 1, вычисляем значение нормированной корреляционной функции для первого интервала времени корреляции.
Каждые следующие средние значения корреляционных моментов, образующих вышележащие гипотенузы, дадут значения корреляционной функции для остальных интервалов времени.
12. Используя полученные средние значения корреляционных моментов от величины интервала с помощью «Мастера диаграмм» строим нормированную корреляционную функцию центрированной случайной составляющей. Для полученной кривой определим аппроксимирующее математическое выражение вида R = exp(–bι)или R = cos(aι)exp(–bι). На рис. 3 показан график корреляционной функции, а также аппроксимирующее математическое выражение вида R = cos(aι)exp(–bι), имеющее периодический, знакопеременный характер.
Такой вид соответствует характеру нашей случайной составляющей. Коэффициент а определяем из условия a = π/(2ι0), а коэффициент b простым подбором. Параметр ι0 называется временем корреляционной связи и равен наименьшему моменту времени, при котором R = 0. На правом рисунке показана одна реализация случайной составляющей и отмечены два уровня величины расхода выраженного в кратностях среднеквадратического отклонения б.
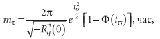
Для определения средней длительности действия расхода некоторой заданной величины, например 2б, и периодичности их появления пользуются теорией выбросов случайной функции через уровни, выраженные в кратностях tσ среднеквадратического отклонения. Согласно этой теории случайная функция характеризуется длительностью выброса Mι за некоторый уровень tσ и частотой появления этих выбросов или периодом, который равен обратной величине частоты v–1

где Φ(tσ) — интегральная функция распределения случайного расхода (табличная); (формула)— вторая производная нормированной корреляционной функции расхода в точке 0.

Для нашего аппроксимирующего выражения вторая производная имеет вид R" = [b2cos(aι+ 2absin(aι)– a2cos(ax)]exp(–bι) и в точке ноль равна R"(0)= b2 – a2. Находим ее значение в точке ноль: R"(0)= –0,038. Теперь структура математической модели становится понятнее. Это прежде всего две составляющие, первая из которых определена детерминированными математическими функциями с конечными числовыми показателями, а вторая вероятностными параметрами и характеристиками.
Прежде чем мы математически смоделируем расход в сети, нам необходимо обосновать некоторые наши предположения касательно вычисленных характеристик, то есть проверить с помощью критериев согласия правдоподобие выдвинутых гипотез:
- о равенстве оценок матожидания на границах суточного интервала (предположение о суточной периодичности расходов в сети);
- об отношении рассчитанных среднеквадратических отклонений к совокупности с одной и той же величиной б (предположение о стационарности случайной составляющей);
- о допустимости величины расхождения теоретической плотности распределения по сравнению с фактически наблюдаемой в совокупности экспериментальных данных (предположение о том или ином теоретическом законе плотности распределения).
Продолжение следует (начало см. №11–12/2007).