Табл. 1. Рекомендуемые значения низшей температуры воды, охлаждающей стены
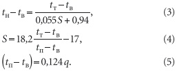
При расчете теплых стен рекомендуется применять формулы (1–5)*, полученные с использованием заимствованных в [1] зависимостей:
tт – tв = (tп – tв)(0,055S + 7R + 0,8), (1)
q = 8,07(tп – tв). (2)
где tт — средняя температура теплоносителя, °С; tв — температура воздуха отапливаемого помещения, °С; tп — температура поверхности греющей стены, °С;
R = ∑(δ/λ),
где δ — толщина слоя материала, расположенного над греющей трубой, м; λ — теплопроводность материала слоя, Вт/(м⋅К); S — шаг труб греющего змеевика, см; q — удельная тепловая мощность греющей стены, Вт/м2. Поскольку теплые стены обычно штукатурят по змеевику цементным раствором толщиной 1,5–2 см, величину R можно принять для всех случаев равной 0,02.Уравнения (1) и (2) преобразованы таким образом, чтобы с их помощью можно было вычислять необходимые параметры теплых стен:

Рассмотрим на примере возможности использования приведенных зависимостей для решения практической задачи.
Пример 1
Помещение, теплопотери которого составляют 950 Вт, предполагается обогреть теплой стеной. Проектом интерьера для этой цели предназначены внутренние стены площадью 12,5 м2. Расчетная температура помещения равна tв = 20 °C. Определить шаг трубок, если расчетные температуры теплоносителя в системе отопления 35–30 °C.Удельный тепловой поток q от поверхности теплой стены в помещение:q = 950/12,5 = 76 Вт/м2.Далее вычисляются по (5):(tп – tв) = 0,124 × 76 = 9,4 °C;tт = 0,5 × (30 + 35) = 32,5 °C и по (4):
Принимается шаг 5 см — ближайшее меньшее, кратное пяти, значение. Применяя теплые стены для отопления дома, можно в большинстве случаев исключить применение радиаторов, потому что температура поверхности теплой стены не ограничивается нормативами столь жестко, как для теплого пола. Вместе с тем, несмотря на отсутствие нормативного запрета, повышать температуру поверхности стены в жилом помещении выше 30 °C не следовало бы, памятуя о более эффективной работе теплового насоса при низких температурах теплоносителя, а также изза опасности усыхания мебели.
Следует предупредить владельца о недопустимости развешивания на теплых станах ковров и ценных картин, а также о недопустимости забивать в них гвозди. На фото показан фрагмент теплой стены комнаты перед ее оштукатуриванием цементным раствором. В тех случаях, когда греющий змеевик устанавливают на внутренней поверхности наружной стены здания, необходимо убедиться в том, что эта стена снаружи утеплена должным образом.
Термическое сопротивление такой стены рекомендуется принимать в 1,2–1,5 раза выше, чем это требует норматив для обычных зданий, а тепловые потери помещений через участки обогреваемых стен должны рассчитываться по формуле:
где Q — тепловой поток [Вт], идущий наружу через участок обогреваемой стены площадью F, м2; Rс — суммарное термическое сопротивление слоев стены, расположенных между змеевиком и наружной поверхностью стены, (м2⋅К)/Вт;tт — средняя температура теплоносителя, протекающего через змеевик, °C; tн — расчетная температура наружного воздуха, °C.
Теплая стена может работать на охлаждение помещения. Прохладная стена является, возможно, самым привлекательным способом летнего охлаждения, особенно для жилого помещения. Человек, находящийся в помещении с такими стенами, чувствует себя совершенно комфортно даже при относительно высокой (до 27–28 °C) температуре внутреннего воздуха, потому что его тело охлаждается не только воздухом, но и излучающей прохладу стеной.
При этом окна помещения могут быть раскрыты для свежего воздуха, а абсолютная бесшумность охлаждения, возможно, на подсознательном уровне добавит приятности к ощущению комфорта, который создается работой техники. В змеевик прохладной стены нельзя подавать слишком холодную воду, чтобы на поверхности стены не выпадал конденсат. Чтобы намокания стен не произошло даже случайно, нужно, чтобы температура в подающем трубопроводе системы холодоснабжения была на 2 °C выше температуры точки росы воздуха охлаждаемого помещения.
Исходя из этого условия, в табл. 1 указаны рекомендуемые значения низшей температуры воды, охлаждающей стены. Работа системы охлаждения должна контролироваться автоматикой, чтобы температура воды не опускалась ниже значений, указанных в таблице. Если эту температуру поддерживать на постоянном уровне t = const, то система охлаждения должна автоматически отключаться при высокой влажности воздуха.
В таблице затушеваны режимы отключения при t = 19 °C = const. Как видим, при большинстве характерных для летнего режима значений относительной влажности может применяться система охлаждения стен водой с низшей температурой 19 °C. Процесс охлаждения помещения прохладной стеной характеризуется зависимостями (1–5), характерными для отопления теплой стеной. Чтобы оценить возможность реального охлаждения помещения водой с температурой 19 °C, рассмотрим конкретный пример.
Пример 2
Оценить охлаждающий эффект стены помещения со встроенным в нее змеевиком из примера 1, если подавать в него холодоноситель с температурой 19–22 °С. Охлаждающий эффект зависит от температуры помещения tв. При tв = 27 °C:tт – tв = 0,5 × (19 + 22) – 27 = –6,5 °C. После расчета по (3) и (5) имеем:q = 8,07 × (–5,3) = –42,8 Вт/м2.При площади прохладной стены 12,5 м2 охлаждающий (со знаком «минус») эффект составит:(–42,8) × 12,5 = –535 Вт.Это примерно отвечает потребности в охлаждении помещения, где постоянно находятся три человека, работающие на компьютерах.